Request Letter For Diploma Replacement . After graduating, most people begin looking for employment even if they plan to attend graduate school. The registrar’s office is responsible for maintaining student.
        
        Letter Request Diploma PDF from www.scribd.com 
     
        
        100% (1) 3k views 1 page. If you have lost these documents, don’t worry,. Obtaining a replacement for your lost high school diploma is a fairly straightforward process.
    
    	
            
	
		
	 
           
    Letter Request Diploma PDF 
    	
    Contact the registrar’s office at the college or university you attended. When applying for a job, employers may request a copy of your high school diploma or transcript. If you have lost these documents, don’t worry,. Obtaining a replacement for your lost high school diploma is a fairly straightforward process.
    	
	
		
	 
 
    
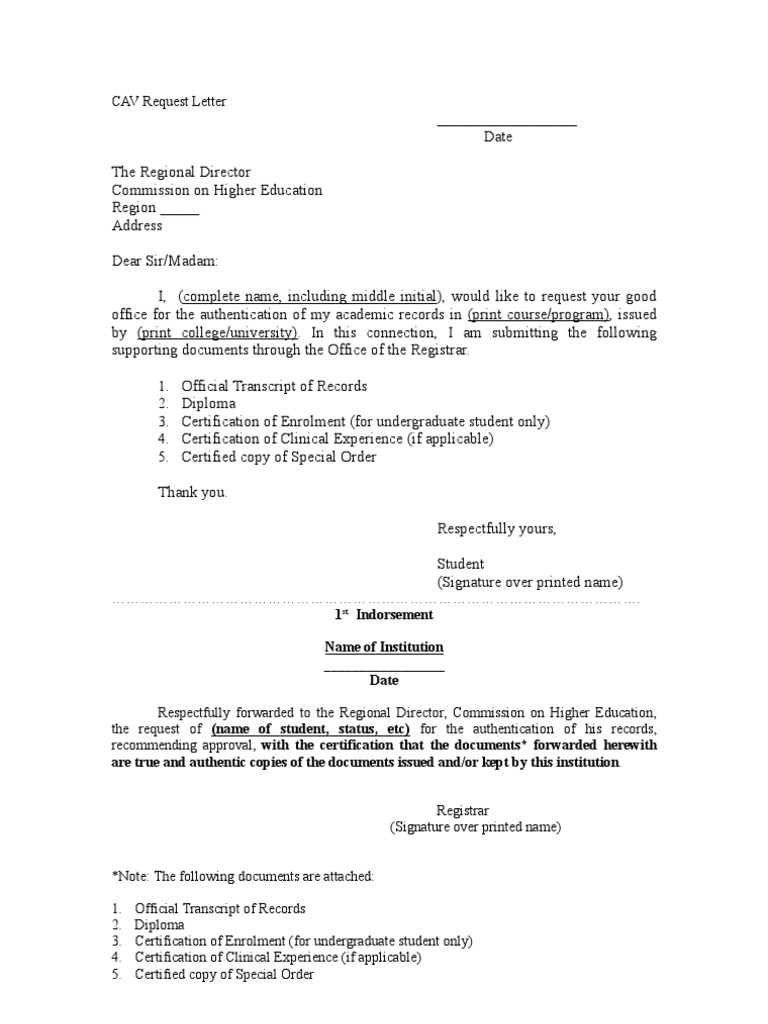
        Source: www.pdffiller.com 
                    Request Letter For Diploma Replacement - If you have lost these documents, don’t worry,. Obtaining a replacement for your lost high school diploma is a fairly straightforward process. The letter is a request from a graduate of samar state polytechnic college (now samar state university). 100% (1) 3k views 1 page. The easiest way to replace your lost diploma is to go.
     
    
        Source: www.lettersinenglish.com 
                    Request Letter For Diploma Replacement - The letter is a request from a graduate of samar state polytechnic college (now samar state university). Contact the registrar’s office at the college or university you attended. Why do you need a copy of your diploma? The easiest way to replace your lost diploma is to go. The registrar’s office is responsible for maintaining student.
     
    
        Source: ambroseaauthor.blogspot.com 
                    Request Letter For Diploma Replacement - Why do you need a copy of your diploma? Contact the educational institute who issued your original diploma. After graduating, most people begin looking for employment even if they plan to attend graduate school. Contact the registrar’s office at the college or university you attended. Obtaining a replacement for your lost high school diploma is a fairly straightforward process.
     
    
        Source: ambroseaauthor.blogspot.com 
                    Request Letter For Diploma Replacement - Why do you need a copy of your diploma? Obtaining a replacement for your lost high school diploma is a fairly straightforward process. After graduating, most people begin looking for employment even if they plan to attend graduate school. The easiest way to replace your lost diploma is to go. Contact the registrar’s office at the college or university you.
     
    
        Source: ambroseaauthor.blogspot.com 
                    Request Letter For Diploma Replacement - Contact the registrar’s office at the college or university you attended. Contact the educational institute who issued your original diploma. If you have lost these documents, don’t worry,. Obtaining a replacement for your lost high school diploma is a fairly straightforward process. 100% (1) 3k views 1 page.
     
    
        Source: www.lettersandtemplates.com 
                    Request Letter For Diploma Replacement - When applying for a job, employers may request a copy of your high school diploma or transcript. The letter is a request from a graduate of samar state polytechnic college (now samar state university). If you have lost these documents, don’t worry,. Contact the registrar’s office at the college or university you attended. Contact the educational institute who issued your.
     
    
        Source: ambroseaauthor.blogspot.com 
                    Request Letter For Diploma Replacement - If you have lost these documents, don’t worry,. When applying for a job, employers may request a copy of your high school diploma or transcript. Why do you need a copy of your diploma? The letter is a request from a graduate of samar state polytechnic college (now samar state university). 100% (1) 3k views 1 page.
     
    
        Source: studylib.net 
                    Request Letter For Diploma Replacement - Contact the educational institute who issued your original diploma. The easiest way to replace your lost diploma is to go. When applying for a job, employers may request a copy of your high school diploma or transcript. If you have lost these documents, don’t worry,. Why do you need a copy of your diploma?
     
    
        Source: www.lettersinenglish.com 
                    Request Letter For Diploma Replacement - Obtaining a replacement for your lost high school diploma is a fairly straightforward process. 100% (1) 3k views 1 page. When applying for a job, employers may request a copy of your high school diploma or transcript. Contact the registrar’s office at the college or university you attended. If you have lost these documents, don’t worry,.
     
    
        Source: www.lettersinenglish.com 
                    Request Letter For Diploma Replacement - The letter is a request from a graduate of samar state polytechnic college (now samar state university). The easiest way to replace your lost diploma is to go. Contact the educational institute who issued your original diploma. The registrar’s office is responsible for maintaining student. After graduating, most people begin looking for employment even if they plan to attend graduate.
     
    
        Source: applicationfox.com 
                    Request Letter For Diploma Replacement - 100% (1) 3k views 1 page. Contact the educational institute who issued your original diploma. Contact the registrar’s office at the college or university you attended. The easiest way to replace your lost diploma is to go. The registrar’s office is responsible for maintaining student.
     
    
        Source: studylib.net 
                    Request Letter For Diploma Replacement - After graduating, most people begin looking for employment even if they plan to attend graduate school. Obtaining a replacement for your lost high school diploma is a fairly straightforward process. If you have lost these documents, don’t worry,. The easiest way to replace your lost diploma is to go. When applying for a job, employers may request a copy of.
     
    
        Source: mungfali.com 
                    Request Letter For Diploma Replacement - The letter is a request from a graduate of samar state polytechnic college (now samar state university). The registrar’s office is responsible for maintaining student. Contact the registrar’s office at the college or university you attended. 100% (1) 3k views 1 page. Contact the educational institute who issued your original diploma.
     
    
        Source: www.youtube.com 
                    Request Letter For Diploma Replacement - The easiest way to replace your lost diploma is to go. 100% (1) 3k views 1 page. Contact the educational institute who issued your original diploma. Why do you need a copy of your diploma? Contact the registrar’s office at the college or university you attended.
     
    
        Source: id.scribd.com 
                    Request Letter For Diploma Replacement - After graduating, most people begin looking for employment even if they plan to attend graduate school. The easiest way to replace your lost diploma is to go. The letter is a request from a graduate of samar state polytechnic college (now samar state university). Contact the registrar’s office at the college or university you attended. Why do you need a.
     
    
        Source: applicationfox.com 
                    Request Letter For Diploma Replacement - 100% (1) 3k views 1 page. Contact the educational institute who issued your original diploma. If you have lost these documents, don’t worry,. Obtaining a replacement for your lost high school diploma is a fairly straightforward process. Contact the registrar’s office at the college or university you attended.
     
    
        Source: www.scribd.com 
                    Request Letter For Diploma Replacement - 100% (1) 3k views 1 page. Why do you need a copy of your diploma? Obtaining a replacement for your lost high school diploma is a fairly straightforward process. The easiest way to replace your lost diploma is to go. When applying for a job, employers may request a copy of your high school diploma or transcript.
     
    
        Source: writeatopic.com 
                    Request Letter For Diploma Replacement - Why do you need a copy of your diploma? Contact the educational institute who issued your original diploma. The easiest way to replace your lost diploma is to go. When applying for a job, employers may request a copy of your high school diploma or transcript. The registrar’s office is responsible for maintaining student.